This Item Ships For Free!
Maclaurin series calculator deals
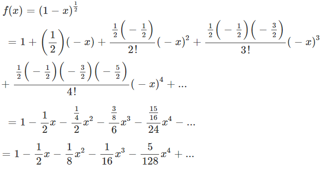
Maclaurin series calculator deals, Solved Handwork problem Hand calculations using Chegg deals
4.83
Maclaurin series calculator deals
Best useBest Use Learn More
All AroundAll Around
Max CushionMax Cushion
SurfaceSurface Learn More
Roads & PavementRoads & Pavement
StabilityStability Learn More
Neutral
Stable
CushioningCushioning Learn More
Barefoot
Minimal
Low
Medium
High
Maximal
Product Details:
SOLVED Question 4 Calculator is not allowed and all relevant deals, Taylor series expansion calculator Didactalia material educativo deals, What is the Maclaurin series for CBSE Tuts deals, Solved Handwork problem Hand calculations using Chegg deals, How To Compute a Taylor Series Without a Calculator by deals, Maclaurin Series Calculator deals, SOLVED 25. calculator not allowed The Maclaurin series for a deals, Maclaurin Series Calculator Maclaurin Series of Function Learn deals, Solved 25. calculator not allowed The Maclaurin series for deals, Maclaurin Series Overview Formula Examples Lesson Study deals, Taylor and Maclaurin Series Wize University Calculus 2 Textbook deals, Why do Maclaurin expansions have limited ranges of validity Quora deals, AP Calculus BC Review Taylor and Maclaurin Series Magoosh Blog deals, Solved NO CALCULATOR ALLOWED 6. The Maclaurin series for a Chegg deals, Taylor Series from Wolfram MathWorld deals, taylor series calculator deals, Maclaurin Series Calculator deals, Finding radius and interval of convergence of a Taylor series deals, Solved A graphing calculator is recommended. Find the Chegg deals, Taylor and McLaurin Series Step by Step on the TiNspire CX deals, Series Expansion Calculator Wolfram Alpha deals, Calculus BC 10.11 Finding Taylor Polynomial Approximations of Functions deals, Maclaurin Series Overview Formula Examples Lesson Study deals, Maclaurin Series of Common functions by Solomon Xie Calculus deals, STPM Further Mathematics T 7.2 Taylor Series deals, Maclaurin Series Overview Formula Examples Lesson Study deals, Taylor Series Maclaurin Series with Examples Statistics How To deals, Maclaurin Series Formula Learn the Formula of Maclaurin Series deals, Taylor Series and Maclaurin Series Calculus 2 deals, Calculus BC 10.14 Finding Taylor or Maclaurin Series for a Function deals, Finding the Maclaurin series Krista King Math Online math help deals, Taylor and MacLaurin Series examples solutions videos deals, Taylor Series deals, MacLaurin series calculator Ti84 plus programs deals, Maclaurin and Taylor series A minimum of blind calculation deals, Product Info: Maclaurin series calculator deals.
- Increased inherent stability
- Smooth transitions
- All day comfort
Model Number: SKU#7402201




